Select Category
All Categories
Accounting
Agriculture
Astrobiology
Banking & Finance
Business World
Civilizations
Commerce & Economics
Competitive exams
Computer Science & IT
Current affairs
Earth Science
Education
Environment
Explore the Animal World
Food chain
General Knowledge
Geography Map
Green Life
History
Human Health
Journalism
Law
Science
Social Science
TAX
About Us
Contact Us
Login
Buiseness Statistics - Part 4
1
of
25
💡
Hints:
3
Q1. Read the following headline and choose the condition that correspond with the business cycle.Due to factory closures unemployment has risen to a five year high of 10%
A. Peak
B. Contractionary
C. Trough
D. Growth
Q2. Every 2 hours, John can build 3 computers completely. Suppose n is the number of computers John can build and t is the time it takes John to build these computers. Identify the independent and the dependent variables.
A. t (time) independent, n (number) dependent
B. t (time) dependent upon n (number) independent
C. t and n are both independent variables
Q3. If the z-score of an observation in a set of normally distributed numerical data is bigger than zero, it means that the observation is ___ hint: z score=(x-x−)/s
A. an error
B. an outlier
C. bigger than the mean
D. biggerthan thestandard deviation
Q4. Refer to Exhibit 2, what is the probability that in a given game the Lions will score no goals?
×
A. 0.95
B. 0.05
C. 0.75
D. 0.6
Q5. If both the variables are changing in the same ratio, then the correlation is
A. linear
B. non-linear
C. positive
D. negative
Q6. The normal and exponential distributions are
A. continuous probability distributions
B. discrete probability distributions
C. can be either continuous or discrete, depending on the data
D. both are the same distributions
Q7. In sciences and technology, use of pie charts is limited compared to other types of graphs such as a histogram, because ___
A. it is difficult to draw pie charts
B. pie charts require data to be measured on interval or ratio scale
C. it is more difficult to interpret the relative size of angles in a pie chart than judge the height of rectangles in a histogram
D. pie chart cannot be used for grouped data
Q8. Facts, or a set of information or observation under study
A. Constant
B. Data
C. Sample
D. Variable
Q9. This is if we know which outcomes can happen, but not which particular values will happen.
A. Random Phenomenon
B. Probability Assignment Rule
C. Personal Probability
D. Law of Large Numbers
Q10. Effective supervision is an activity of
A. Organization function
B. Staffing function
C. Control function
D. Direction function
Q11. A college plans to interview 8 students for possible offer of graduate assistantships. The college has three assistantships available. How many groups of there can the college select?
A. 56
B. 72
C. 336
D. 120
Q12. If A and B are independent events then the P(A and B) = P(A) * P(B)
A. Addition Rule
B. Subtraction Rule
C. Complement Rule
D. Multiplication Rule
Q13. Data that can be expressed as a fraction of a number (for example, the weight of all newborn babies)
A. discrete
B. continuous
Q14. If A and B are mutually exclusive events with P(A) = 0.3 and P(B) = 0.5, then P(A∩B) and P(A∪B) respectively will be
A. 0.00 and 0.80
B. 0.15 and 0.20
C. 0.80 and 0.00
D. 0.20 and 0.15
Q15. Which among the following are parts of job description: i) Duties performed ii) Job summary iii) Job identification iv) Supervision given v) Delegation of authority
A. (i), (ii), (iii) and (iv)
B. (ii), (iii), (iv) and (v)
C. (i), (iii), (iv) and (v)
D. (i), (ii), (iii) and (v)
Q16. Base year for Price Index Number Is denoted as
A. P0
B. P1
C. P0Q0
D. P1Q1
Q17. Find the MODE of the numbers:2, 4, 5, 5, 6, 8, 6, 2, 4, 6, 8
A. 6
B. 4
C. 5
D. 2
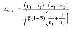
Q18. The following formula is most likely to be used for the purpose of .
×
A. Two sample [related] test for comparing Means
B. Two sample [independent] test for comparing Means
C. One sample test for the Mean
D. Two sample [independent] test for comparing Proportion
Q19. A period for which index number is determined is called as
A. base period
B. normal period
C. current period
D. none of the above
Q20. Arrange the following in order: i) Promotion ii) Performance appraisal iii) Recruitment iv) Training and Development
A. (iii), (iv), (ii),(i)
B. (ii), (iii), (i), (iv)
C. (i), (ii), (iii), (iv)
D. (ii), (iv), (iii), (i)
Q21. Identify the correct definition of Industrial Relation?
A. Relation between or among human being
B. Relation between employer and employees
C. Relation between parties in employment context
D. Collective relationship between management and trade union.
Q22. Which is a step of job description?
A. List of jobs to evaluated
B. Review of job description
C. Interview with supervisor
D. All of the above
Q23. Probability can be studied with the help of following approaches
A. Classical approach
B. Empirical approach
C. Subjective approach
D. All of the above
Q24. Determine the mean of the numbers 24, 19, 11, 0, 17, 19
A. 15
B. 18
C. 19
D. 24
Q25. If there exists any relationship between the sets of variables, it is called
A. Regression
B. Correlation
C. Skewness
D. Kurtosis
Submitting Your Quiz...
Please wait while we process your answers